一,设计模式概述
1.1 软件设计模式产生背景
" 设计模式" 最初并不是出现在软件设计中,而是被用于建筑领域的设计中。1977 年美国著名建筑大师、加利福尼亚大学伯克利分校环境结构中心主任克里斯托夫·亚历山大 (christopher alexander) 在他的著作《建筑模式语言: 城镇、建筑、构造》中描述了一些常见的建筑设计问题,并提出了 253 种关于对城镇、邻里、住宅、花园和房间等进行设计的基本模式。
1990 年软件工程界开始研讨设计模式的话题,后来召开了多次关于设计模式的研讨会。直到 1995 年,艾瑞克·伽马 (grichcarma) 理査德·海尔姆 (Richard He1m)、拉尔夫 约翰森(Ralph Johnson)、约翰·威利斯迪斯(John ylissides) 等 4 位作者合作出版了 **《设计模式: 可复用面向对象软件的基础》** 一书,在此书中收录了 23 个设计模式,这是设计模式领域里程碑的事件,导致了软件设计模式的突破。这 4 位作者在软件开发领域里也以他们的“四人组”(Gang of Four,GOF) 著称。
1.2 软件设计模式概念
软件设计模式 (software Design pattern),又称设计模式,是一套被反复使用、多数人知晓的、经过分类编目的、代码设计经验的总结。它描述了在软件设计过程中的一些不断重复发生的问题,以及该问题的解决方案。也就是说,它是解决特定问题的一系列套路是前辈们的代码设计经验的总结,具有一定的普遍性,可以反复使用。
1.3 设计模式分类
-
创建型模式
用于描述“怎样创建对象”,它的主要特点是 "将对象的创建与使用分离”。GoF(四人组) 书中提供了单例、原型、工厂方法、抽象工厂、建造者等 5 种创建型模式。
-
结构型模式
用于描述如何将类或对象按某种布局组成更大的结构,GOF(四人组) 书中提供了代理、适配器、桥接、装饰、外观、享元、组合等 7 种结构型模式。
-
行为型模式
用于描述类或对象之间怎样相互协作共同完成单个对象无法单独完成的任务,以及怎样分配职责。GoF(四人组) 书中提供了模板方法、策略、命令、职责链、状态、观察者、中介者、迭代器、访问者、备忘录、解释器等 11 种行为型模式。
二,UML图
统一建模语言 (Unified Modeling Language,UML),是用来设计软件的可视化建模语言。它的特点是简单、统、图形化、能表达软件设计中的动态与静态信息。
UML 从目标系统的不同角度出发,定义了用例图、类图、对象图、状态图、活动图、时序图、协作图、构件图、部署图等 9 种图。
2.1 类图概念
类图 (Class diagram) 是显示了模型的静态结构, 工特别是模型 中存在的类、类的内部结构以及它们与其他类的关系等。类图不显示暂时性的信息。类图是面向对象建模的主要组成部分。
2.2 类图的作用
在软件工程中,类图是一种静态的结构图,描述了系统的类的集合,类的属性和类之间的关系,可以简化了人们对系统的理解;
类图是系统分析和设计阶段的重要产物,是系统编码和测试的重要型。
2.3 类图的表示法
2.3.1 类的表述方式
在 UMI 类图中,类使用包含类名、属性 (fied) 和方法 (method) 且带有分割线的矩形来表示,比如下图表示一个 Employee 类,它包
含 name,age 和 address 这 3 个属性,以及work()方法。

属性 / 方法名称前加的加号和减号表示了这个属性 / 方法的可见性," 类图中表示可见性的符号有三种:
+表示public-表示private#表示protected
属性的完整表示方式是:可见性名称 : 类型 [= 缺省值]
方法的完整表示方式是:可见性名称(参数列表)[:返回类型]
注意
1,中括号中的内容表示是可选的
2,也有将类型放在变量名前面,返回值类型放在方法名前面
2.3.2 类与类之间关系的表示方式
关联关系是对象之间的一种引用关系,用于表示一类对象与另一类对象之间的联系,如老师和学生、师傅和徒弟、丈夫和妻子等。关联关系是类与类之间最常用的一种关系,分为一般关联关系、聚合关系和组合关系。
2.3.2.1 关联关系
-
单向关联

在 UMIL 类图中单向关联用一个带箭头的实线表示。上图表示每个顾客都有一个地址,这通过让 customer 类持有一个类型为 Address 的成员变量类实现。
-
双向关联

从上图中我们很容易看出,所谓的双向关联就是双方各自持有对方类型的成员变量。
在 UMI 类图中,双向关联用一个不带箭头的直线表示。上图中在 customer 类中维护一个 List<product>,表示一个顾客可以购买多个
商品,在 product 类中维护一个 customer 类型的成员变量表示这个产品被哪个顾客所购买。 -
自关联

自关联在 UML 类图中用一个带有箭头且指向自身的线示。上图的意思就是 Node 类包含类型为 Node 的成员变量,也就是“自己包含自
己”。
2.3.2.2 聚合关系
聚合关系是关联关系的一种,是强关联关系,是整体和部分之间的关系。聚合关系也是通过成员对象来实现的,其中成员对象是整体对象的一部分,但是成员对象可以脱离整体对象而独立存在。例如,学校与老师的关系,学校包含老师,但如果学校停办了,老师依然存在。
在 UML 类图中,聚合关系可以用带空心萎形的实线来表示,萎形指向整体。下图所示是大学和教师的关系图:

2.3.2.3 组合关系
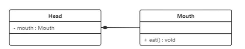
组合表示类之间的整体与部分的关系,但它是一种更强烈的聚合关系。在组合关系中,整体对象可以控制部分对象的生命周期,一旦整体对象不存在,部分对象也将不存在,部分对象不能脱离整体对象而存在。例如,头和嘴的关系,没有了头,也就不存在了。
在 UML 类图中,组合关系用带实心萎形的实线来表示,萎形指向整体。下图所示是头和嘴的关系图:

2.3.2.4 依赖关系
依赖关系是一种使用关系,它是对象之间耦合度最弱的一种关联方式,是临时性的关联。在代码中,某个类的方法通过局部变量、方法的参数或者对静态方法的调用来访问另一个类 (被依赖类) 中的某些方法来完成一些职责。
在 UML 类图中,依赖关系使用带節头的虚线来表示,箭头从使用类指向被依赖的类。下图所示是司机和汽车的关系图,司机驾驶汽车:

2.3.2.5 继承关系
继承关系是对象之间耦合度最大的一种关系,表示一般与特殊的关系,是父类与子类之间的关系,是一种继承关系。在 UML 类图中,泛化系用带空心三角箭头的实线来表示,箭头从子类指向父类。在代码实现时,使用面向对象的继承机制来实现泛化关系

2.3.2.6 实现关系
实现关系是接口与实现类之间的关系。在这种关系中,类实现了接口,类中的操作实现了接口中所声明的所有的抽象操作。在 UML 类图中,实现关系使用带空心三角箭头的虚线来表示,箭头从实现类指向接口。

三,软件设计原则
在软件开发中,为了提高软件系统的可维护性和可复用性,增加软件的可扩展性和灵活性,程序员要尽量根据 6 条原则来开发程序,从而提高软件开发效率、节约软件开发成本和维护成本。
3.1 开闭原则
对扩展开放,对修改关闭。在程序需要进行拓展的时候,不能去修改原有的代码,实现一个热插拔的效果。简言之,是为了使程序的扩展性好,易于维护和升级。
想要达到这样的效果,我们需要使用接口和抽象类。
因为抽象灵活性好,适应性广,只要抽象的合理,可以基本保持软件架构的稳定。而软件中易变的细节可以从抽象派生来的实现类来进行扩展,当软件需要发生变化时,只需要根据需求重新派生一个实现类来扩展就可以了。
下面以 搜狗输入法,的皮肤为例介绍开闭原则的应用。
【例】 搜狗输入法 的皮肤设计。
分析:搜狗输入法 的皮肤是输入法背景图片、窗口颜色和声音等元素的组合。用户可以根据自己的喜爱更换自己的输入法的皮肤,也可以从网上下载新的皮肤。这些皮肤有共同的特点,可以为其定义一个抽象类 (Abstractskin),而每个具体的皮肤 (DefaultSpecificskin和Heimaspecificskin) 是其子类。用户窗体可以根据需要选择或者增加新的主题,而不需要修改原代码,所以它是满足开闭原则的。

多态在开闭原则中的作用
-
多态的体现
AbstractSkin作为抽象父类定义了统一接口DefaultSkin和CustomsSkin作为具体实现类提供不同实现SougoInput类通过AbstractSkin类型的引用调用方法,实际执行时根据对象类型调用对应实现
-
开闭原则的实现
- 对扩展开放:可以轻松添加新的皮肤类(如
CustomsSkin),只需继承AbstractSkin - 对修改封闭:添加新皮肤时无需修改
SougoInput类的代码
- 对扩展开放:可以轻松添加新的皮肤类(如
-
代码中的多态应用
// 这里体现了多态:同一个引用可以指向不同的子类对象 sougoInput.setSkin(defaultSkin); // 指向DefaultSkin实例 // sougoInput.setSkin(customSkin); // 可以指向CustomsSkin实例
总结:开闭原则的实现依赖于 Java 的多态机制。多态是实现开闭原则的重要手段之一,它使得系统可以在不修改现有代码的情况下扩展新功能。
3.2 里氏代换原则
里氏代换原则是面向对象设计的基本原则之一
里氏代换原则:任何基类可以出现的地方,子类一定可以出现。通俗理解:子类可以扩展父类的功能,但不能改变父类原有的功能。换句话说,子类继承父类时,除添加新的方法完成新增功能外,尽量不要重写父类的方法。
如果通过重写父类的方法来完成新的功能,这样写起来虽然简单,但是整个继承体系的可复用性会比较差,特别是运用多态比较频繁时程序运行出错的概率会非常大。
下面看一个里氏替换原则中经典的一个例子
【例】正方形不是长方形。
在数学领域里,正方形毫无疑问是长方形,它是一个长宽相等的长方形。所以,我们开发的一个与几何图形相关的软件系统,就可以顺理成章的让正方形继承自长方形。

我们运行一下这段代码就会发现,假如我们把一个普通长方形作为参数传入resize方法,就会看到长方形宽度逐渐增长的效果,当宽度大于长度, 代码就会停止,这种行为的结果符合我们的预期;
假如我们再把一个正方形作为参数传入resize方法后,就会看到正方形的宽度和长度都在不断增长,代码会一直运行下去,直至系统产生溢出错误。
所以,普通的长方形是适合这段代码的,正方形不适合。我们得出结论:在 resize 方法中,Rectangle 类型的参数是不能被 square 类型的参数所代替,如果进行了替换就得不到预期结果。因此,square 类和 Rectangle 类之间的继承关系违反了里氏代换原则,它们之间的继承关系不成立,正方形不是长方形。
案例改进
如何改进呢?此时我们需要重新设计他们之间的关系。抽象出来一个四边形接口 (Quadrilateral),让 Rectangle 类和 square 类实现 Quadrilateral 接囗
改进后 uml 类图

3.3 依赖倒转原则
高层模块不应该依赖低层模块,两者都应该依赖其抽象;抽象不应该依赖细节,细节应该依赖抽象。简单的说就是要求对抽象进行编程,不要对实现进行编程,这样就降低了客户与实现模块间的耦合。
下面看一个例子来理解依赖倒转原则
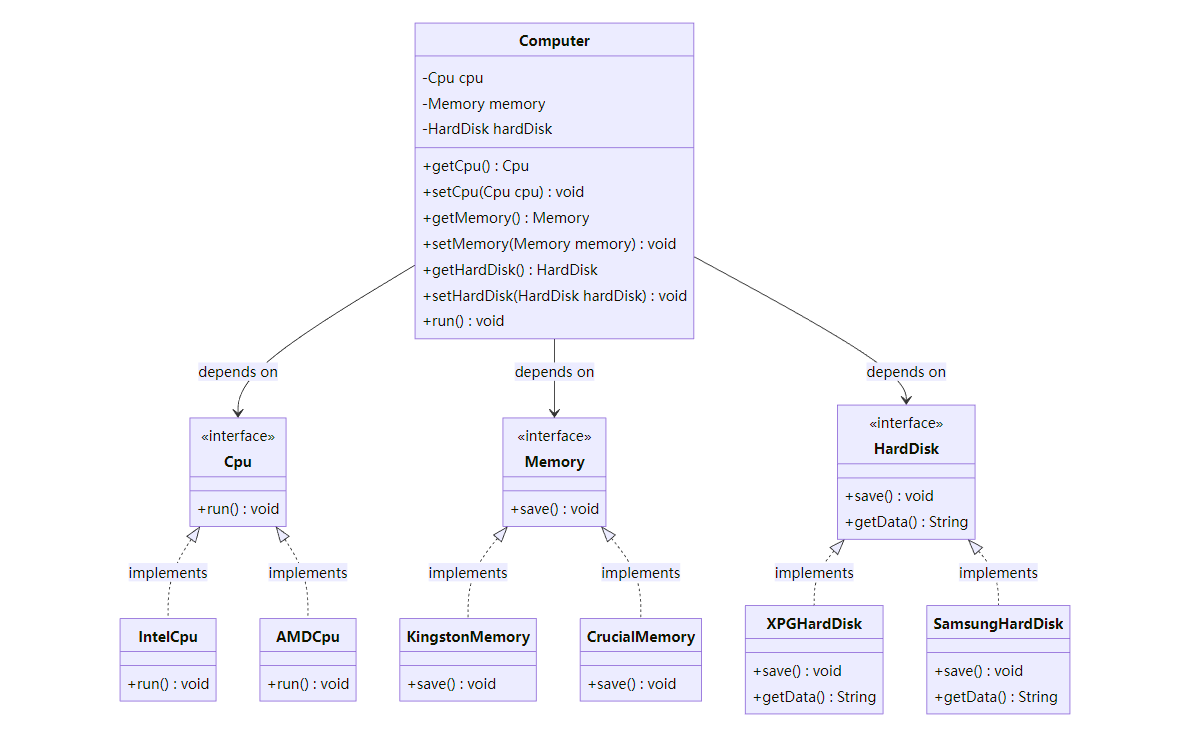
【例】组装电脑
现要组装一台电脑,需要配件 cpu,硬盘,内存条。只有这些配置都有了,计算机才能正常的运行。选择 cpu 有很多选择,如 Intel,AMD 等,硬盘可以选择希捷,西数等,内存条可以选择金士顿,海盗船等。
类图如下:

上面代码可以看到已经组装了一台电脑,但是似乎组装的电脑的 cpu 只能是 Intel 的,内存条只能是金士顿的,硬盘只能是希捷的,这对用户肯定是不友好的,用户有了机箱肯定是想按照自己的喜好 **,选择自己喜欢的配件根据依赖倒转原则进行改进:**
代码我们只需要修改 computer 类,让 computer 类依赖抽象 (各个配件的接口),而不是依赖于各个组件具体的实现类。
UML 类图:

总结,它包含两个要点:
- 高层模块不应该依赖低层模块,二者都应该依赖于抽象。
- 抽象不应该依赖于细节,细节应该依赖于抽象。
举例: Frontend(高层)不应该直接依赖MySQLDatabase(低层),而应该共同依赖一个Database接口。Frontend代码里只和Database接口打交道。至于底层是用 MySQL 还是 Redis,通过依赖注入的方式给到Frontend。这样,更换数据库时,Frontend的代码完全不用改。
说人话:“高层次的模块和低层次的模块直接引用需要在中间隔一层抽象。从而实现高层次不需要知道低层次的具体实现,低层次可以随意切换”
3.4 接口隔离原则
客户端不应该被迫依赖于它不使用的方法,一个类对另一个类的依赖应该建立在最小的接口上。下面看一个例子来理解接口隔离原则

【例】安全门案例
我们需要创建一个 哇哈哈 品牌的安全门,该安全门具有防火、防水、防盗的功能。可以将防火,防水,防盗功能提取成一个接口,形成
一套规范。类图如下:

上面的设计我们发现了它存在的问题,哇哈哈 品牌的安全门具有防盗,防水,防火的功能。现在如果我们还需要再创建一个阿里的安全门,而该安全门只具有防盗、防水功能呢? 很显然如果实现 safetypoor 接口就违背了接口隔离原则,那么我们如何进行修改呢? 看如下类图:

总结:说人话就是接口的方法要尽可能的少
3.5 迪米特法则
迪米特法则又叫最少知识原则。
只和你的直接朋友交谈,不跟“陌生人 " 说话 (Talk only to your immediate friends and not to strangers)。
其含义是:如果两个软件实体无须直接通信,那么就不应当发生直接的相互调用,可以通过第三方转发该调用。其目的是降低类之间的耦合度,提高模块的相对独立性。
说人话:尽量引用当前类直接依赖的对象,不要引用当前类依赖的对象的对象。即尽可能的是直接引用而非间接引用
迪米特法则中的“朋友“是指: 当前对象本身、当前对象的成员对象、当前对象所创建的对象、当前对象的方法参数等,这些对象同当前对象存在关联、聚合或组合关系,可以直接访问这些对象的方法。
下面看一个例子来理解迪米特法则
【例】明星与经纪人的关系实例
明星由于全身心投入艺术,所以许多日常事务由经纪人负责处理,如和粉丝的见面会,和媒体公司的业务洽淡等。这里的经纪人是明星的朋友,而粉丝和媒体公司是陌生人,所以适合使用迪米特法则。
类图如下:

它的经典表述是:“只和你的直接朋友交谈,不和陌生人说话。”
- 朋友:当前对象的成员变量、方法的入参、方法内部创建的对象。
- 陌生人:上述朋友的朋友(即通过多次
.点操作才能获取到的对象)。
错误示例:
employee.getDepartment().getManager().getName(); // 获取员工部门经理的名字
这里employee的朋友是getDepartment()返回的Department对象,但Department的经理(Manager)是“陌生人”。
正确做法:
应该在Employee类中提供一个“中介”方法:
employee.getManagerName();
在这个方法内部,它自己去调用getDepartment().getManager().getName()。这样,外部的调用者就不需要知道Department和Manager这些“陌生人”的存在,耦合度就降低了。
所以,更准确的说法是: “一个对象应该对其他对象有最少的了解,不要深入调用一连串的方法来获取数据,而应该让直接朋友帮你完成这个请求。”
3.6 合成复用原则
合成复用原则是指:尽量先使用组合或者聚合等关联关系来实现,其次才考虑使用继承关系来实现。
通常类的复用分为继承复用和合成复用两种。
继承复用虽然有简单和易实现的优点,但它也存在以下缺点:
- 继承复用破坏了类的封装性。因为继承会将父类的实现细节暴露给子类,父类对子类是透明的,所以这种复用又称为“白箱"复用。
- 子类与父类的耦合度高。父类的实现的任何改变都会导致子类的实现发生变化,这不利于类的扩展与维护。
- 它限制了复用的灵活性。从父类继承而来的实现是静态的,在编译时已经定义,所以在运行时不可能发生变化。
采用组合或聚合复用时,可以将已有对象纳入新对象中,使之成为新对象的一部分,新对象可以调用已有对象的功能,它有以下优点:
- 它维持了类的封装性。因为成员对象的内部细节是新对象看不见的,所以这种复用又称为**“黑箱“复用。**
- 对象间的耦合度低。可以在类的成员位置声明其抽象父类或接口。
- 复用的灵活性高。这种复用可以在运行时动态进行,新对象可以动态地引用与成分对象类型相同的对象。
【例】汽车分类管理程序
汽车按“动力源”划分可分为汽油汽车、电动汽车等;按“颜色”划分可分为白色汽车、黑色汽车和红色汽车等。如果同时考虑这两种分类,其组合就很多。类图如下:

从上面类图我们可以看到使用继承复用产生了很多子类,如果现在又有新的动力源或者新的颜色的话,就需要再定义新的类。我们试着将继承复用改为聚合复用看一下。
